Numiti Locurile In Care Se Desfasoara Actiunea In Ordinea Indicata In Text





Numiti Locurile In Care Se Desfasoara Actiunea In Ordine Indicata In Text Din Doua Loturi Brainly Ro

Numiti Locurile In Care Se Desfasoara Actiunea In Ordine Indicata In Text Din Doua Loturi Brainly Ro

Numiti Locurile In Care Se Desfasoara Actiunea In Ordinea Indicata In Textul Doua Loturi De Brainly Ro

Numiti Locurile In Care Se Desfasoara Actiunea In Ordinea Indicata In Textul Doua Loturi De Brainly Ro

Fisa De Lucru Nuvela

Fisa De Lucru Nuvela

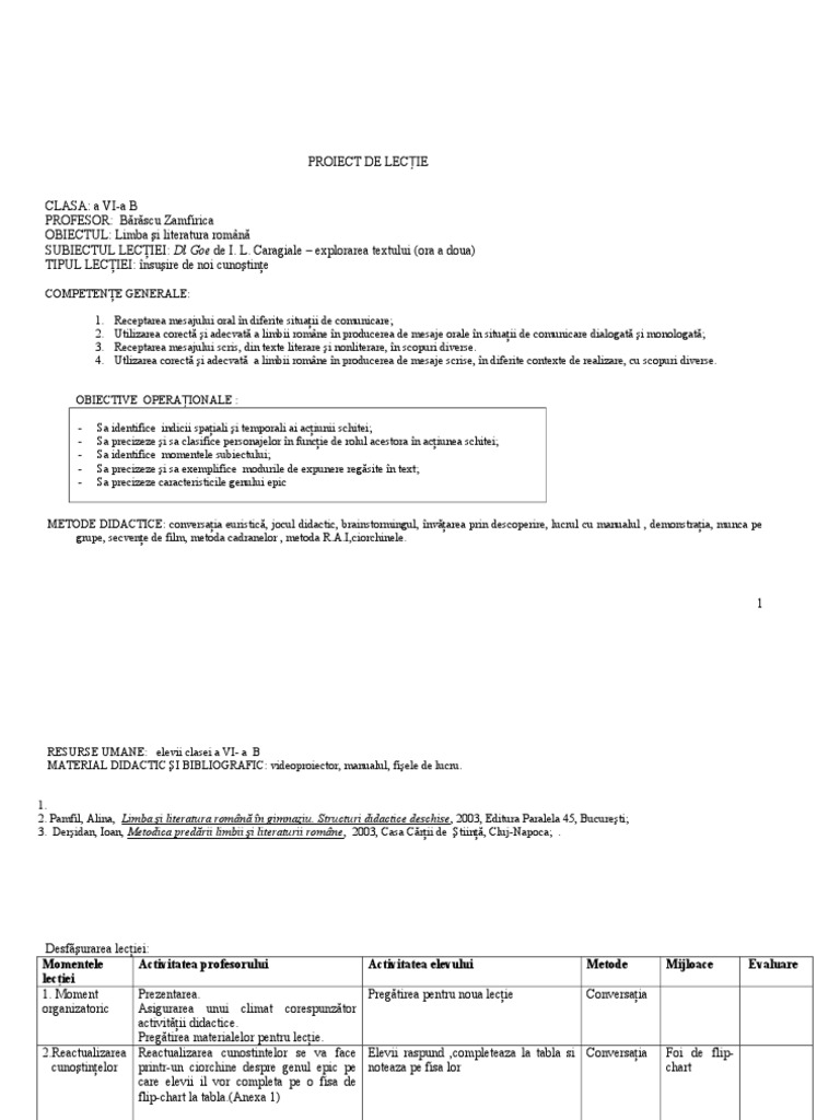
Două Loturi I L Caragiale Proiect De Lecție

Două Loturi I L Caragiale Proiect De Lecție

Pick Literatura Ro 5 Govornyan2 P Pages 101 150 Flip Pdf Download Fliphtml5

Pick Literatura Ro 5 Govornyan2 P Pages 101 150 Flip Pdf Download Fliphtml5

Https Spitalbuftea Ro Wp Content Uploads 2017 08 Rof Spital Pdf

Https Spitalbuftea Ro Wp Content Uploads 2017 08 Rof Spital Pdf

Https Spitalbuftea Ro Wp Content Uploads 2017 08 Rof Spital Pdf

Se aplică şi concedierii individuale pentru motive ce nu ţin de persoana salariatului.

Numiti locurile in care se desfasoara actiunea in ordinea indicata in text. Datorita specificului se apreciaza in doctrina ca infractiunile flagrante pertinente traficului de fiinte umane se constata spontan si numai in anumite cazuri cand se retin date si informatii precise se organizeaza prinderea in flagrant. Judecata în primă instanță desfășurarea judecării cauzelor dezbaterile și ordinea în care se dă cuvântul. Din doua loturi 953029. 81 din ccm unic la nivel naţional pe anii 2007 2010 care.

Procurorului persoanei vătămate părții civile părții responsabile civilmente și inculpatului. 388 jurisprudență doctrină 3 modele 10 1 după terminarea cercetării judecătorești se trece la dezbateri dându se cuvântul în următoarea ordine. Aceste criterii privind ordinea de prioritate la concediere sunt prevăzute în art. în text se vorbeşte despre faptul că exista o asociaţiune pentru fundarea şi înzestrarea unui observatoriu astronomic la bucureşti care organizează o loterie pentru.

Numiti locurile in care se desfasoara actiunea in ordinea indicata in textul doua loturi de caragiale. Conform art 148 din codul muncii republicat efectuarea concediului de odihna se realizeaza in baza unei programari colective sau individuale stabilite de angajator cu consultarea sindicatului sau dupa caz a reprezentantilor salariatilor pentru programarile colective ori cu consultarea salariatului pentru. Particularitatile principalelor activitati ce se desfasoara pentru administrarea probatoriului. Numiti locurile in care se desfasoara actiunea in ordine indicata in text.

Potrivit legii se penalizează cu 0 2 pe zi pentru fiecare zi de neplată după scadență orice sumă afișată pe lista de plată fie ea cotă de întreținere sau contribuție la fondurile speciale aplicându se desigur perioada de grație de 30 de zile de la scadență în care creditorul se abține de la îi calcula încă penalizările.

Pick Biologiya I Ekologiya Ro Md 10 Ostaptchenko Pages 151 192 Flip Pdf Download Fliphtml5

Pick Biologiya I Ekologiya Ro Md 10 Ostaptchenko Pages 151 192 Flip Pdf Download Fliphtml5

Pdf Anul Ii Drept Universitatea Dunărea De Jos Galați Drept Financiar Si Fiscal Suport De Curs Invățămant Frecvență Redusă

Pdf Anul Ii Drept Universitatea Dunărea De Jos Galați Drept Financiar Si Fiscal Suport De Curs Invățămant Frecvență Redusă

Calameo Paria Irving Stone

Calameo Paria Irving Stone

Xii Fizica Astronomie A 2017 In Limba Romana Pages 1 50 Text Version Fliphtml5

Xii Fizica Astronomie A 2017 In Limba Romana Pages 1 50 Text Version Fliphtml5

Ingineria Procesării Materialelor

Ingineria Procesării Materialelor

Manual Limba Romana Clasa Lx A By Andrei Issuu

Manual Limba Romana Clasa Lx A By Andrei Issuu

Curs Svt I Sem 1 20187 2019 3

Curs Svt I Sem 1 20187 2019 3

Marin Neacsu In Cuiul Catarii Scmd Vorbe Si Fapte

Marin Neacsu In Cuiul Catarii Scmd Vorbe Si Fapte

Https Spitalbuftea Ro Wp Content Uploads 2017 08 Rof Spital Pdf

Https Spitalbuftea Ro Wp Content Uploads 2017 08 Rof Spital Pdf

Pdf Journal Of Romanian Literary Studies Issue No 5 2014

Pdf Journal Of Romanian Literary Studies Issue No 5 2014

Regulamentul De Ordine Interioara Grupul Scolar Vasile Juncu Minis

Regulamentul De Ordine Interioara Grupul Scolar Vasile Juncu Minis

Pdf Competenţe In Comunicare Performanţă In Educaţie Cristina Iurian Academia Edu

Pdf Competenţe In Comunicare Performanţă In Educaţie Cristina Iurian Academia Edu

Evaluarea Implementării Acordului De Asociere By Victor Ursu Issuu

Evaluarea Implementării Acordului De Asociere By Victor Ursu Issuu

Calameo Biblia Kolbrin 6 Cartea Preceptelor și Invățăturile Morale

Calameo Biblia Kolbrin 6 Cartea Preceptelor și Invățăturile Morale

Source : pinterest.com